Reklama
Shutterstock
Strona główna

Nieraz dokoła, czyli o obrotach liczb

Rys. 1Marek Penszko Rys. 1
Tabela 1Marek Penszko Tabela 1
Tabela 2Marek Penszko Tabela 2
Rys. 2Marek Penszko Rys. 2
Rys. 3Marek Penszko Rys. 3
Rys. 4Marek Penszko Rys. 4
Rys. 5Marek Penszko Rys. 5
Wzór 1Marek Penszko Wzór 1
Rys. 6Marek Penszko Rys. 6
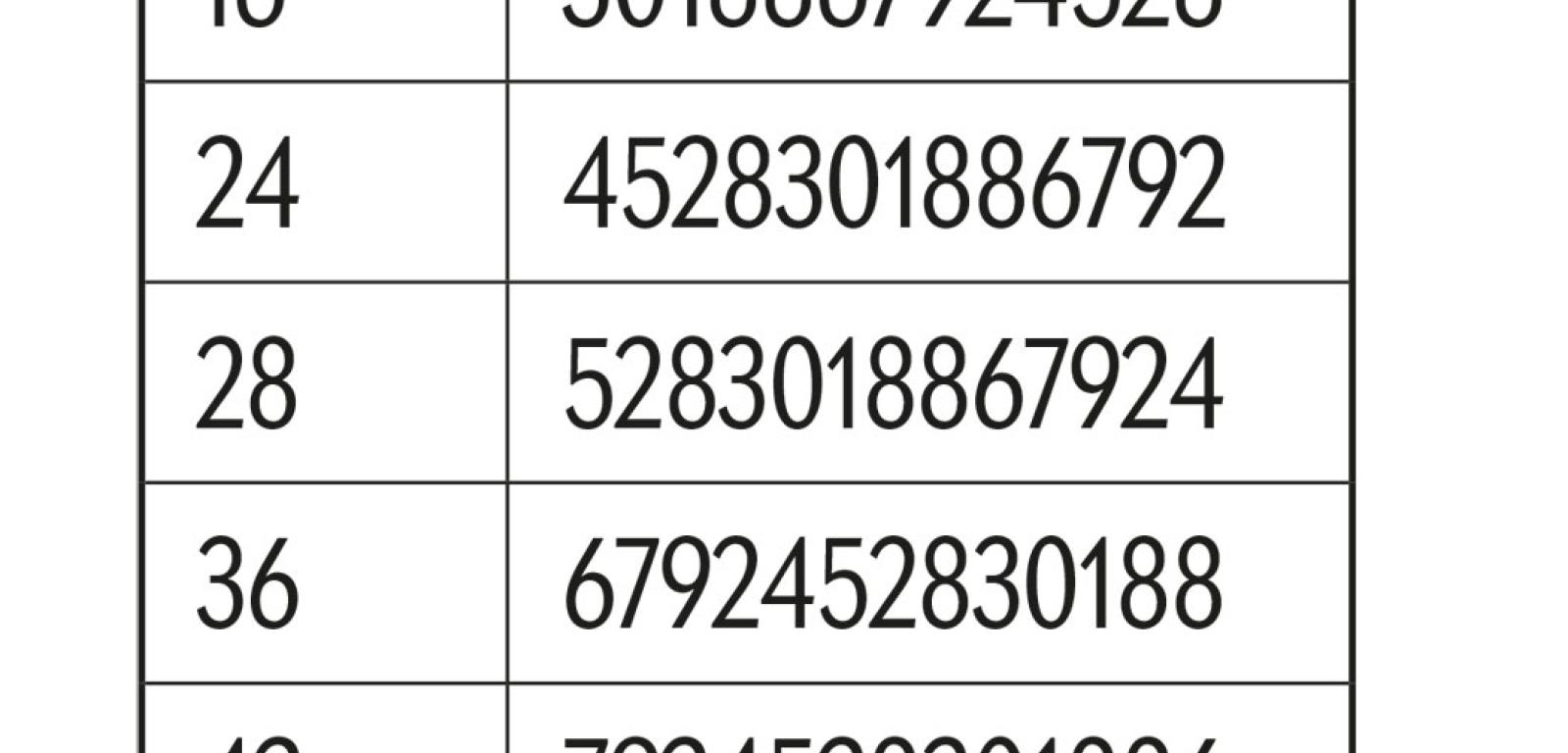
Tabela 3Marek Penszko Tabela 3
Rys. 7Marek Penszko Rys. 7
Rys. 8Marek Penszko Rys. 8
materiały prasowe
Rys. 9Marek Penszko Rys. 9
Rys. 10Marek Penszko Rys. 10
Zagadka numeru.

Freeman Dyson, wybitny fizyk i matematyk amerykański, zyskał miano geniusza po opublikowaniu przed 10 laty w New York Times Magazine poświęconego mu artykułu. Bezpośrednią przyczyną zaszczytnego określenia był opis reakcji uczonego na następującą łamigłówkę:

Znajdź liczbę, która po przestawieniu ostatniej cyfry na początek zwiększa się dwukrotnie.

Gwoli jasności: bliska znalezisku jest na przykład liczba 316, bo jej wartość wzrasta po wskazanej operacji dwukrotnie z… niedomiarem:

316 (×2) = 631 (+1)

Łamigłówka została zaprezentowana w latach 80. na spotkaniu grupy uczonych, którzy oniemieli, gdy Freeman Dyson po niespełna 10 sekundach stwierdził: „to nic trudnego, ale najmniejsza taka liczba ma 18 cyfr”. Uporanie się z zadaniem w tak krótkim czasie, choćby tylko podanie długości szukanej liczby, wydaje się niemożliwe. Gdy później zgodnie stwierdzono, że Dyson miał rację, jego umysł przyrównano do mózgu elektronowego. Dopiero po pewnym czasie okazało się, że autor wspomnianego artykułu pominął fakt, że zadanie nie było nowością, a Dyson należał do wąskiego grona osób, które je znały.

Łamigłówka jest rzeczywiście prosta, a rozwiązywanie może być wręcz schematyczne, jeśli przyjąć, że najmniejsza szukana liczba zaczyna się jedynką, a jej dwukrotność dwójką. Zadanie sprowadza się wówczas do rozszyfrowania mnożenia z rys. 1a. Rząd czerwonych kropek w mnożnej i iloczynie oznacza ten sam ciąg cyfr. Rozszyfrowywanie polega więc na wpisywaniu od końca obliczanych kolejnych cyfr iloczynu i przenoszeniu ich do mnożnej w celu kontynuowania rekonstrukcji (rys. 1b). Zakończenie następuje w momencie, gdy na początku mnożnej pojawia się „wolna” jedynka (niebędąca jednostką liczby dwucyfrowej), jak na rys. 1c.

Taki sposób rozwiązywania nie gwarantuje oczywiście, że znaleziona liczba 105 263 157 894 736 842 jest najmniejszą możliwą. Aby mieć pewność, że tak jest, trzeba podejść do zadania ogólniej i ściśle matematycznie.

Zapisujemy szukaną liczbę X w postaci 10a+b, gdzie b jest jej ostatnią cyfrą, zaś a liczbą X po odcięciu cyfry b, czyli (Xb)/10. Jeżeli cyfrę b przemieścimy z końca na początek, powstanie liczba 10k-1b+a, gdzie k jest liczbą cyfr liczby X. Liczba ta powinna być dwukrotnie większa niż X, czyli:

10k-1b+a=2 (10a+b)

zaś po przekształceniach:

19a=2b (5×10k–2–1)

Teraz należy znaleźć najmniejsze k, dla którego wyrażenie 5×10k–2–1 dzieli się przez 19. W tym celu najwygodniej skorzystać z reszt z dzielenia, czyli z zapisu modulo 19 (mod 19). Inaczej mówiąc, szukamy takiego k, dla którego 5×10k–2–1=0 (mod 19), a po przekształceniu: 5×10k–2=1 (mod 19), czyli reszta r z dzielenia przez 19 równa jest 1. Dla k=2, 3, 4,… r=5, 12, 6,… Wartości reszt dla większych k podane są w tabeli 1. Obliczanie każdej następnej jest względnie proste, bowiem – jak wynika ze wzoru – wystarczy poprzednią resztę pomnożyć przez 10 i podzielić przez 19.

Reszta r=1 pojawia się przy k=18. A zatem:

19a=2b (5×1016–1), czyli a=b×5 263 157 894 736 842

Dla b=1 X1=10a+b jest liczbą 17-cyfrową – 52 631 578 947 368 421, czyli nie może być rozwiązaniem. Dopiero przy b=2 pojawia się obliczona wyżej liczba 18-cyfrowa, co potwierdza, że jest ona najmniejszą stanowiącą rozwiązanie. Wartościom 3≤b≤9 odpowiadają coraz większe 18-cyfrowe liczby X. Wszystkie znajdują się w tabeli 2 i wszystkie są „bliźniacze” w takim sensie, że każda powstaje z innej przez przestawienie cyfry lub grupy cyfr z końca na początek (albo odwrotnie). Każda jest także wielokrotnością (całkowitą) jakiejś mniejszej liczby lub jest od niej większa niecałkowitą liczbę razy.

Na rys. 2 ciąg cyfr, tworzących liczbę X1 dla b=1 poprzedzoną zerem, czyli 052631578947368421, zapisany jest „na okrągło” w formie pierścienia. Z tego pierścienia można odczytać każdą wielokrotność X1 nie większą niż 18-krotną, zaczynając od cyfry, przy której znajduje się niebieski mnożnik, odpowiadający danej wielokrotności, i dołączając wszystkie pozostałe cyfry kolejno zgodnie z ruchem wskazówek zegara. Na przykład, liczba 7 razy większa od X1 zaczyna się od lewej trójki i kończy lewą siódemką (368 421 052 631 578 947), a 17 razy większa ma na początku dolną ósemkę, a na końcu sąsiednią siódemkę (894 736 842 105 263 157).

Pierścień z rys. 2 może stanowić inspirację do „wariacji na temat”, np. takiej: Znajdź liczbę, która po przestawieniu grupy trzech końcowych cyfr na początek maleje dwuipółkrotnie. Na pierścieniu najmniejszą z trzech liczb o takiej własności jest 263 157 894 736 842 105=2,5×105 263 157 894 736 842, ale czy w ogóle najmniejszą? Aby to ustalić, należy – podobnie jak poprzednio – zacząć od ogólnego zapisu obu liczb, a następnie relacji między nimi:

103a+b=5 (b×10k-3+a)/2

Po przekształceniach otrzymamy:

a/b= (5×10k-3–2)/1995

Z warunków zadania wynika, że b jest liczbą trzycyfrową, zaś a możliwie najmniejszą, i obie zaczynają się: a – od 1, 2 lub 3; b – od co najmniej 3. Łatwo sprawdzić, że dla k=4 lub 5 rozwiązania nie ma. Dla k=6 równanie ma postać a/b=4998/1995= (2×3×7×7×17)/(3×5×7×19). Stąd jedyna możliwość pary a i b – 714 i 285, zatem szukaną najmniejszą liczbą jest 714 285=2,5×285 714. W ten sposób dotarliśmy do najbardziej znanej rodzinki tzw. liczb kolistych, której protoplastą jest 142 857, przedstawiona wraz z wszystkimi jej wielokrotnościami mniejszymi od ×7 w postaci pierścienia na rys. 3.

Każde z obu omawianych wyżej zadań dotyczy więc pary liczb kolistych, należących do określonej rodziny, czyli takich, których w danej rodzinie jest tyle, z ilu cyfr składa się każda liczba. Ściślej: liczb k-cyfrowych jest w kolistej rodzinie k, zaś każda jest inną w-krotnością najmniejszej z nich (w=1, 2, 3,…, k), a także – co najistotniejsze – każdą można odczytać koliście z pierścienia, czyli utworzyć z dowolnej z pozostałych, przestawiając odpowiednio cyfrę lub grupę cyfr z końca na początek albo odwrotnie. Najmniejsza liczba i ewentualnie jej najmniejsze wielokrotności mogą zaczynać się zerem lub zerami – tyloma, aby wszystkich cyfr tworzących liczbę, należącą do danej rodziny, było k (te zera są oczywiście niezbędne tylko przy tworzeniu wielokrotności metodą przestawiania).

Liczba cyfr k liczby kolistej (gdy uwzględni się początkowe zera) może przyjmować tylko ściśle określone wartości parzyste, które tworzą nieokreślony wzorem ciąg: 6, 16, 18, 22, 28, 46, 58, 60, 96, … Jak widać, liczby te szybko stają się gigantami; już pierścień z piątą rodziną dla k=28 wygląda całkiem okazale (rys. 4). Chaotyczność ciągu liczb k wynika z ich powiązania z liczbami pierwszymi. Każda jest o 1 mniejsza od tzw. pełnookresowej liczby pierwszej pf, czyli takiej, której odwrotność jest takim ułamkiem okresowym, którego okres składa się dokładnie z pf–1 cyfr. I właśnie ten okres jest liczbą kolistą o k=pf–1. To, czy liczba pierwsza p jest pf, można ustalić w nieco osobliwy sposób: trzeba sprawdzić, która najmniejsza liczba złożona z samych jedynek jest wielokrotnością danej liczby pierwszej. Jeśli ta najmniejsza „jedynkowa” liczba składa się z p–1 jedynek, to p=pf. Sprawdzanie tego bez komputerowego wsparcia jest trudne już dla małych liczb dwucyfrowych p, bo na przykład dla p=19 trzeba ustalić, że żadna liczba jedynkowa mniejsza od 111 111 111 111 111 111 nie dzieli się przez 19. Skąd biorą się liczby jedynkowe w sposobie szukania liczb pf, a także skąd bierze się kolistość – obie te sprawy można objaśnić na przykładzie pf=7, korzystając ze słupkowego dzielenia 10 (a właściwie potęgi 10) – przez 7 (rys. 5).

Jeśli długość okresu ułamka 1/p równa jest k, to po wykonaniu k dzieleń cząstkowych jako reszta pojawi się 1, a całe dzielenie będzie miało w tym momencie ograniczoną zieloną linią na rys. 5 postać (10k–1)/p. Ponieważ 10k–1=9×111…1 (gdzie 111…1 składa się z k jedynek), a p jest liczbą pierwszą większą od 5, więc p musi być dzielnikiem 111…1. Nie może być natomiast dzielnikiem żadnej liczby jedynkowej złożonej z k’<k jedynek, bo wtedy reszta 1 pojawi się po k’ dzieleniach i okresem ułamka 1/p byłoby k’. Warto zauważyć, że to uzasadnienie wiąże się ściśle ze znanym skądinąd algorytmem zamiany ułamka dziesiętnego okresowego na zwykły.

Teraz o pochodzeniu kolistości. Jak było napisane wyżej, zielona linia na rys. 5 ogranicza fragment dzielenia, który można przedstawić w postaci:

Z porównania obu równości wynika związek wzajemnej kolistości 142 857 i 714 285 z wielokrotnością (w tym przypadku pięciokrotnością) jednej z liczb względem drugiej. Analogiczne zależności występują dla pozostałych fragmentów dzielenia – od 2×106/7 do 6×106/7. Najistotniejsze jest oczywiście to, że w słupku pojawia się jako pierwsza cyfra dzielnej (czerwona) każda niezerowa reszta z dzielenia przez 7, co gwarantuje najdłuższy możliwy okres k-cyfrowy (w tym przypadku 6-cyfrowy), a w związku z tym także kolistość.

Jeżeli liczba pierwsza p nie jest pełnookresowa, to jej odwrotność 1/p w postaci ułamka dziesiętnego ma okres złożony z mniej niż p–1 cyfr, przy czym jest to podwielokrotność p–1. Na przykład, dla p=13 okres jest 6-cyfrowy i stanowi 1/2-kolistą liczbę 076923. „1/2-”, ponieważ na „rodzinnym” pierścieniu tej liczby (rys. 6a) występuje tylko połowa mniejszych od 13 możliwych liczb-wielokrotności (×1, ×3, ×4, ×9, ×10, ×12). Druga połowa wielokrotności owocuje liczbą quasi 1/2-kolistą dwukrotnie większą – 153846, odpowiadającą okresowi ułamka 2/13 (rys. 6b) – „quasi”, bo tylko dwie liczby w tej podrodzinie są wielokrotnościami (całkowitymi – ×6 i ×8) liczby najmniejszej (×2). Istnieją także liczby 1/3-koliste (najmniejsza jest 34-cyfrowym okresem ułamka 1/103), 1/4-koliste (najmniejsza 13-cyfrowa dla ułamka 1/53 – 0188679245283 – tabela 3 zawiera jej wszystkie koliste w-krotności), 1/5-koliste (najmniejsza 50-cyfrowa z ułamka 1/251; jeśli pominąć 2-cyfrową z ułamka 1/11) itd.

Kolistość niektórych liczb jako pierwszy zauważył w latach 20. XIX wieku „ojciec informatyki” Charles Babbage. Konkretnie była to wspomniana rodzina liczb 6-cyfrowych, zaczynająca się od 142 857, której szukania dotyczyło zaproponowane przez Babbage’a zadanie. Odtąd głównie ta rodzina gości w publikacjach poświęconych matematyce rekreacyjnej jako przykład kolistości. Nierzadko pojawia się też w postaci prostych sztuczek arytmetycznych. Na przykład: Weź kalkulator, wpisz dowolną liczbę, podziel ją przez 7 i podaj mi szóstą liczbę po przecinku (jeśli wynik będzie liczbą całkowitą, zwiększ dzielną o 6) – a ja odgadnę, jaka jest pierwsza liczba po przecinku. Ukoronowaniem kolistych ciekawostek jest zwykle wynik mnożenia k-cyfrowej liczby kolistej najmniejszej w danej rodzinie przez k+1, będący wielokrotnością liczby jedynkowej. Jaką? – nietrudno się domyślić i łatwo sprawdzić. Osobliwością liczb kolistych jest także to, że na pierścieniu suma każdej pary cyfr leżących dokładnie naprzeciw siebie równa jest 9. Dlaczego tak się dzieje? – to pozakonkursowa zagadka do samodzielnego rozwiązania.

Zadania

1. Jeśli w pewnej kilkucyfrowej liczbie naturalnej A odpowiednio przestawić cyfry, to powstanie liczba trzykrotnie mniejsza niż A. Jaka największa liczba jest na pewno dzielnikiem liczby A?

2. Jaka jest najmniejsza liczba naturalna, której mnożenie przez półtora można zastąpić przeniesieniem jej pierwszej cyfry na jej koniec?

3. Proszę znaleźć przynajmniej dwie liczby o następującej własności: po przestawieniu przedostatniej cyfry danej liczby na jej początek wartość tej liczby wzrasta trzykrotnie.

4. Liczbę nazwiemy hiperkolistą, jeśli z jej zapisu na pierścieniu można odczytać jej wielokrotność, wykonując po okręgu więcej niż jedno okrążenie (ale mniej niż dwa). Na przykład, hiperkolista jest liczba 3125, ponieważ 3125×17=53125 (rys. 7a).

Liczbę nazwiemy retrokolistą, jeśli z jej zapisu na pierścieniu można odczytać jej wielokrotność, poruszając się po okręgu w kierunku przeciwnym niż kierunek zapisu. Na przykład, retrokolista jest liczba 1386, ponieważ 1386×6=8316 (rys. 7b).

Zadanie polega na znalezieniu przynajmniej jednej i co najmniej 3-cyfrowej liczby, która będzie równocześnie hiperkolista i retrokolista.

Rozwiązania prosimy nadsyłać do 30 listopada br. pocztą elektroniczną (swiatnauki@proszynskimedia.pl), wpisując w temacie e-maila hasło UG 11/18. Spośród autorów poprawnych rozwiązań przynajmniej trzech zadań wyłonimy pięciu zwycięzców i nagrodzimy ich książką Edwarda R. Scheinermana Przewodnik miłośnika matematyki. Arcydzieła dla każdego ufundowaną przez wydawnictwo Prószyński Media.

Warunkiem udziału w konkursie jest zamieszczenie w e-mailu z odpowiedzią oświadczenia:

Zapoznałam/em się z regulaminem Konkursu i akceptuję jego treść oraz wyrażam zgodę na przetwarzanie danych osobowych na potrzeby realizacji Konkursu.

Regulamin Konkursu jest dostępny na stronie www.swiatnauki.pl

***

Rozwiązania zadań z numeru wrześniowego

1. 1-S; 2,3-T; 4,6-L; 5-S. Pełne rozwiązanie na rys. 8.

2. I-2, J-2, L-4, S-4, T-1, Z-1. Pełne rozwiązanie na rys. 9.

3. 3. A-9, B-4, C-5, D-7, E-1. Pełne rozwiązanie na rys. 10.

Za poprawne rozwiązanie przynajmniej dwóch zadań książkę Proste jak pi. Matematyka to bułka z masłem Liz Strachan, ufundowaną przez wydawnictwo Prószyński Media, otrzymują: Albert Gawin z Radomia, Edyta Jaszczuk z Warszawy, Tymoteusz Legięć z Grzegorzówki, Aleksandra Świerczek ze Skawiny, Milena Wielgosz z Rudy.

***

Marek Penszko, z wykształcenia inż. poligrafii, jest znawcą i popularyzatorem gier i rozrywek umysłowych, głównie matematyki rekreacyjnej. Współpracuje z wieloma czasopismami, m.in. pisze blog dla Polityki.

Świat Nauki 11.2018 (300327) z dnia 01.11.2018; Umysł giętki; s. 70
Reklama

Ta strona do poprawnego działania wymaga włączenia mechanizmu "ciasteczek" w przeglądarce.

Powrót na stronę główną