Reklama
Rys. 1 Rys. 1 Marek Penszko
Strona główna

Łukiem i odcinkiem, czyli oswajanie niemożliwego

Rys. 2Marek Penszko Rys. 2
Wzór 1Marek Penszko Wzór 1
Rys. 3Marek Penszko Rys. 3
Wzór 2Marek Penszko Wzór 2
Wzór 3Marek Penszko Wzór 3
Wzór 4Marek Penszko Wzór 4
Wzór 5Marek Penszko Wzór 5
Rys. 4Marek Penszko Rys. 4
Rys. 5Marek Penszko Rys. 5
Rys. 6Marek Penszko Rys. 6
materiały prasowe
Marek Penszko, z wykształcenia inż. poligrafii, jest znawcą i popularyzatorem gier i rozrywek umysłowych, głównie matematyki rekreacyjnej. Współpracuje z wieloma czasopismami, m.in. pisze blog dla Polityki.Scientific American Marek Penszko, z wykształcenia inż. poligrafii, jest znawcą i popularyzatorem gier i rozrywek umysłowych, głównie matematyki rekreacyjnej. Współpracuje z wieloma czasopismami, m.in. pisze blog dla Polityki.
Zagadka numeru.

Jak podzielić kąt na trzy równe części, korzystając tylko z cyrkla i linijki bez podziałki? – to jeden z trzech, obok kwadratury koła i podwojenia sześcianu, sztandarowych problemów starożytnej matematyki greckiej. W roku 1837 francuski matematyk Pierre Wantzel udowodnił, że to zadanie, zwane trysekcją klasyczną lub euklidesową, w ogólnym przypadku nie ma rozwiązania, czyli podział nie jest możliwy. Nie odstręczało to jednak amatorów ekstremalnych wyzwań od szukania sposobów uporania się z tą starożytną łamigłówką. Jej formalna prostota zachęcała i nadal kusi do geometrycznych eksperymentów, skoro – zdaniem amerykańskiego filozofa George’a Santayany – „to, co trudne, można zrobić szybko, dopiero niemożliwe wymaga trochę czasu”.

Oryginalny dowód Wantzela nie grzeszy prostotą, a ponadto jest czysto algebraiczny, bez jakichkolwiek rysunków, co – zdaniem podejmujących próby wykazania jego ułomności – koliduje z geometrycznym charakterem trysekcji. Ignorujących ten dowód propozycji sposobów podziału wymyślono w ciągu minionych blisko dwóch wieków mnóstwo i wciąż pojawiają się nowe, choć z reguły są one przypadkowymi kopiami poprzednich. Niektóre goszczą nawet w czasopismach popularnonaukowych – oczywiście nie ściśle matematycznych. Ich autorzy, bardzo pewni poprawności swoich konstrukcji, są niekiedy skłonni zakładać się o pokaźne sumy, a nawet zabiegają o patent, spodziewając się sporych zysków i sławy. Jedna z takich propozycji uporania się z klasyczną trysekcją została ostatnio nadesłana do naszej redakcji, stając się inspiracją niniejszego artykułu.

Swego rodzaju słabość i zachętę do bagatelizowania dowodu Wantzela stanowi także to, że nie jest on – być bowiem nie może – uniwersalny w tym sensie, że nie dotyczy wszystkich kątów. Nietrudno bowiem wskazać wiele takich, z których łatwo da się wydzielić ich jedną trzecią, korzystając tylko z cyrkla i liniału. To tak, jakby dowód niewykonalności kwadratury koła (zbudowanie kwadratu o polu równym polu danego koła) – nie dotyczył jakichś kół lub kwadratów. Tymczasem w przypadku kwadratury uniwersalność dowodu ma zrozumiałą, solidną podstawę: nie sposób skonstruować odcinka o długości p, a, co równie istotne, wiadomo, do czego taki odcinek jest potrzebny.

Z niemożliwością klasycznej trysekcji sprawa nie jest taka prosta, bo np. podzielenie kąta 45° na trzy kąty po 15° to fraszka. Tyle ma na rys. 1a żółta część różowego kąta 45°, znajdująca się między dwusieczną kąta prostego a bokiem trójkąta równobocznego – cyrkiel i linijka wystarczają za „obsługę” tej konstrukcji. Jeszcze łatwiej wykonać w podobny sposób trysekcję kąta prostego. Wystarczy z końców łuku ograniczającego ćwiartkę koła o danym promieniu zakreślić tym samym promieniem łuczki przecinające łuk i połączyć punkty przecięcia z środkiem koła (rys. 1b). Prostota tych podziałów rodzi nadzieję na znalezienie sposobu trysekcji każdego kąta. Nic więc dziwnego, że wytrwale szukali go starożytni Grecy i szukają współcześni zapaleńcy, nie dowierzając matematykom, skoro oni także, jak wszyscy, mogą się mylić. Wiele takich „odkryć” zostało zebranych w wydanej przed ponad 30 laty książce1. Propozycja trysekcji nadesłana do naszej redakcji jest zbieżna, jeśli chodzi o ogólną koncepcję, z zamieszczoną w 1966 roku na łamach gazety Cincinnati Post – bardzo prostą (rys. 2a), więc choćby dlatego podejrzaną i błędną, jak wszystkie inne.

Linie takiego samego koloru na rys. 2a są równoległe; niebieska przerywana jest dwusieczną różowego kąta ϕ, którego 1/3 stanowi jakoby żółty kąt. Jeśli pominiemy „jakoby” oraz uwzględnimy to, że długa zielona linia jest dwa razy dłuższa od promienia okręgu, którego częścią jest duży łuk, to z konstrukcji na rys. 2a łatwo wyprowadzić wzór trygonometryczny, który jest oczywiście niepoprawny:

Błąd wartości kąta ϕ/3 jest tym większy, im ϕ jest bliższe kątowi prostemu; w skrajnym przypadku przekracza 10%. W podziale nadesłanym do redakcji ϕ=60°, co zamiast 20° daje kąt ϕ/3=19,1°. Tymczasem równie prosta, ale znacznie dokładniejsza jest metoda wymyślona w latach 40. przez lwowskiego prawnika M. Rappaporta (opisał ją matematyk Tadeusz Ważewski2). Obejmuje trzy etapy:

– kąt ϕ dzielony jest dwusieczną na pół;

– cięciwa, łącząca końce łuku połowy kąta ϕ/2, dzielona jest na trzy części;

– promień odcinający 2/3 cięciwy równocześnie odcina z błędem poniżej 1% kąt ϕ/3 (20,1° dla ϕ=60°; rys. 2b).

Matematycznie, czyli teoretycznie, bezbłędnych, ale nieeuklidesowych sposobów trysekcji kąta jest kilkanaście. Większość z nich wymaga korzystania ze specjalnych krzywych lub oryginalnych przyrządów, choć są i takie, do których zastosowania wystarcza bardzo skromne, wręcz śladowe poluzowanie ograniczeń klasycznej trysekcji. W najbardziej znanej metodzie, przypisywanej Archimedesowi, śladami są dwa punkty oznaczone na brzegu linijki w jednostkowej odległości r. Cała konstrukcja przedstawiona jest na rys. 3a. Można ją nazwać mechaniczną, bo po narysowaniu półokręgu o środku O i jednostkowym promieniu r, oznaczeniu w nim dzielonego kąta ϕ (AOC) oraz przedłużeniu ramienia OA do prostej q – należy przyłożyć brzeg linijki do punktu C i przesuwać ją ruchem posuwisto–obrotowym tak, aby jeden z punktów oznaczonych na linijce znalazł się na okręgu (D), a drugi na prostej q (E) – przy tym brzeg linijki powinien cały czas pozostawać w kontakcie z punktem C.

Z analizy zależności między kątami utworzonych w ten sposób trójkątów równoramiennych DEO i CDO łatwo wywnioskować, że kąty DEO i DOE (oraz AOB, który jest kątem DEO „przesuniętym” na ϕ) – są równe ϕ/3.

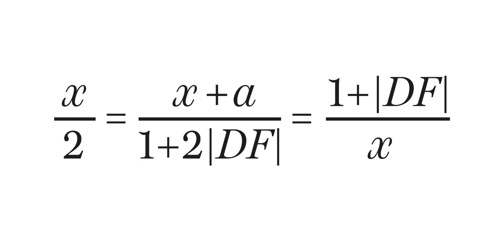
Z konstrukcji Archimedesa można wyprowadzić równanie trysekcji oraz oparty na nim dowód Wantzela. Z podobieństwa trójkątów EDG, ECH i EOF wynikają równości:

Ponieważ EG=x/2, ED=r=1, EH=x+a, EC=r+CD=1+2DF i EF=r+DF=1+DF, EO=x, więc równości przybiorą postać:

Z równości dwóch pierwszych ułamków oraz pierwszego i trzeciego ułamka wynikają dwa równania:

1+2DF=2(x+a)/x oraz x2=2+2DF

Podstawiając 2DF z drugiego równania do pierwszego otrzymamy po przekształceniach równanie trysekcji:

x3–3x–2a=0

Identyczny będzie efekt skorzystania z wzoru trygonometrycznego na cosinus trzykrotności kąta:

Po podstawieniu wynikających z rys. 3a zależności x=2cos(ϕ/3), a=cosϕ otrzymamy:

a=x3/2–3x/2, czyli x3–3x–2a=0.

Tu zaczyna się „nieprzekonujący” dowód Wantzela, który zwykle ma prostszą postać niż oryginał z XIX wieku. Sprowadza się do wykazania, że nie sposób wykreślić trysiecznej jakiegoś konkretnego kąta (najczęściej 60°) z użyciem cyrkla i liniału, a stąd wniosek, że klasyczna trysekcja dowolnego kąta nie jest możliwa. Spróbujmy dowód Wantzela nieco uszczegółowić i uczynić go bardziej przekonującym. Zaczniemy przekornie od dowiedzenia czegoś, co nie budzi wątpliwości – że możliwa jest dysekcja, czyli podział na dwie równe części każdego kąta.

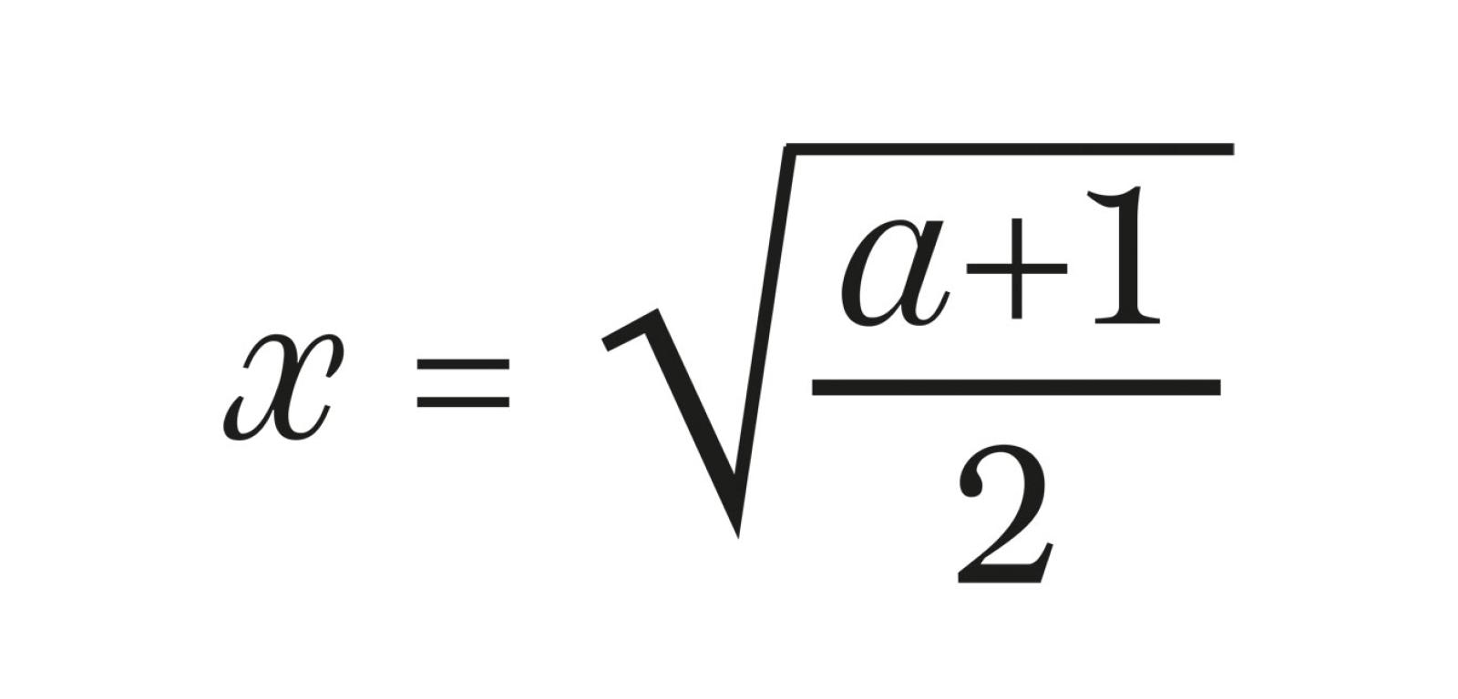
Podstawiając cosϕ=a i cos(ϕ/2)=x (rys. 3b) we wzorze na cosinus dwukrotności kąta cosϕ=2cos2(ϕ/2)–1, otrzymamy: a=2x2–1, czyli

Długość 0<a<1 jest dana, więc najpierw należy skonstruować odcinek o długości równej wyrażeniu pod pierwiastkiem. Jest to możliwe, bo za pomocą cyrkla i linijki łatwo odcinki dodawać, odejmować, mnożyć i dzielić (chodzi oczywiście o ich długości), co pierwszy opisał Kartezjusz w dziele Geometria. Dodawanie i odejmowanie jest oczywiste. Mnożenie (niebieskie) i dzielenie (czerwone) danych odcinków m i n przedstawia rys. 4a; kąt między liniami ciągłymi nie jest ściśle określony, a dwie linie przerywane są równoległe. Do konstrukcji odcinka o długości równej pierwiastkowi kwadratowemu z długości (d) innego odcinka też wystarcza cyrkiel oraz liniał. Podstawą jest zależność: w trójkącie prostokątnym kwadrat długości wysokości opuszczonej na przeciwprostokątną jest równy iloczynowi długości odcinków, na którą wysokość dzieli przeciwprostokątną. Także więc w tym przypadku wsparciem jest odcinek jednostkowy, który wraz z odcinkiem pierwiastkowanym tworzy podstawę półokręgu (rys. 4b).

A zatem teoretyczną podstawą dysekcji jest dowód możliwości konstrukcji odcinka o długości x=cos(ϕ/2) dla każdego kąta ϕ, mimo że praktyczny podział, czyli rysowanie dwusiecznej, ma z tym dowodem niewiele wspólnego – sprowadza się do przepołowienia odcinka (cięciwy łuku), a tym samym kąta, na którym wsparty jest łuk.

Czy analogiczny dowód dla klasycznej trysekcji również jest możliwy? Jak w przypadku dysekcji podstawę stanowiło równanie 2x2–1–a=0, tak przy trysekcji podstawą jest podane wyżej równanie x3–3x–2a=0, w którym 0≤a=cosϕ<1 (wartości –1<a<0 można pominąć, bo jeśli ϕ>90°, to ϕ/3=(ϕ–90°)/3+30°, a kąt 30° łatwo skonstruować cyrklem i linijką), zaś √3<x=2cos(ϕ/3)<2.

W równaniach prostej rysowanej przy linijce i okręgu wykreślanego cyrklem niewiadome występują odpowiednio w pierwszej i drugiej potędze. W związku z tym współrzędne punktów (na okręgu) mogą zawierać pierwiastek co najwyżej kwadratowy, ponieważ przy obliczaniu współrzędnych rozwiązywane jest równanie kwadratowe, a tu pojawia się √Δ. Tymczasem równanie trysekcji jest równaniem trzeciego stopnia, więc jego rozwiązania mogą wyrażać się działaniami zawierającymi pierwiastek sześcienny. Właśnie ten fakt stanowi główne „zagrożenie”, gdyż konstrukcja odcinka o długości równej pierwiastkowi sześciennemu z dowolnego x za pomocą cyrkla i linijki nie jest możliwa (chodzi oczywiście o pierwiastkowanie, a nie o dające taki sam wynik inne działanie, czyli np. „ćwiartowanie” ośmiu). Jeśli zatem dla danego a dowolne x, będące rozwiązaniem równania trysekcji, zawiera działanie inne niż jedno z czterech podstawowych, potęgowanie lub wyciąganie pierwiastka stopnia 2k, a w szczególności zawiera (co najbardziej prawdopodobne) pierwiastek sześcienny – to klasyczna trysekcja jest niewykonalna. Kluczową dla ustalenia, czy uda się dokonać trysekcji, jest próba odpowiedniego rozłożenia wielomianu trzeciego stopnia (x3–3x–2a), czyli przedstawienia go w postaci iloczynu takich dwóch wielomianów – stopnia pierwszego i drugiego – których pierwiastki będą konstruowalne cyrklem i linijką. Inaczej mówiąc, konstruowalne powinny być liczby s, t, u w iloczynie (x+s)(x2+tx+u), bo konstruowalność tych liczb decyduje o konstruowalności pierwiastków.

Dla a=1 wielomian ma postać x3–3x–2 i gdyby był rozkładalny zgodnie z wymogami, to miałby pierwiastek wymierny równy któremuś z dzielników wyrazu wolnego: –2, –1, 1 lub 2. I tak właśnie jest, a stąd już blisko do rozkładu: (x–2)(x2+2x+1). Ten prosty przykład jest jednak nieco oderwany od rzeczywistości, stanowi bowiem potwierdzenie możliwości klasycznej trysekcji kąta równego… zero stopni. Powrotem do realiów może być kąt 45°. Jego cosinus równy jest √2/2, zatem równanie trysekcji ma postać x3–3x–√2=0 i można je przedstawić w postaci iloczynu wielomianów – (x+√2)(x2–x√2–1)=0, co potwierdza wykonalność trysekcji (rys. 1a) – pierwiastkami równania są √2 oraz (√2/2)(1±√3). Inaczej ma się sprawa z równaniem x3–3x–1=0, które odpowiada dzieleniu kąta 60°. Wielomian stopnia pierwszego w wymaganym rozkładzie musiałby mieć pierwiastek równy dzielnikowi wyrazu wolnego, czyli 1 lub –1, a te wartości nie spełniają równania, więc rozkład nie jest możliwy, a co za tym idzie trysekcja kąta 60° jest niewykonalna.

Powyższe przykłady potwierdzają słabą stronę euklidesowej trysekcji w porównaniu z dysekcją. Przy dysekcji wartość kąta nie jest istotna – niezależnie od tego, ile ma stopni, zawsze uda się go przepołowić. Dokonując trysekcji, musimy wiedzieć, jaki kąt dzielimy. Co gorsza, tylko dla ograniczonej liczby konkretnych kątów można ustalić, czy ich klasyczna trysekcja jest możliwa, zaś jej wykonanie jest proste zaledwie w kilku przypadkach.

Poza rozkładalnością równania trysekcji są jeszcze inne sprawdziany możliwości jej wykonania, choć żaden nie obejmuje wszystkich kątów. Za niepraktyczne należy uznać obliczanie pierwiastków równania sześciennego, bowiem jest to zajęcie zbyt mozolne. Zawiłości obliczeń tylko w niewielkim stopniu ogranicza postać kanoniczna równania (brak niewiadomej w drugiej potędze) oraz dość prosty wyróżnik – D=108(1–a2). Ponieważ a nie przekracza 1, więc wyróżnik ten nigdy nie jest mniejszy od zera, czyli równanie ma zawsze trzy pierwiastki rzeczywiste. Jeden z nich oznacza 2cos(ϕ/3), dwa pozostałe – 2cos[(ϕ+2p)/3] oraz 2cos[(ϕ+4p)/3]. Na przykład dla ϕ=90° x1=2cos(30°)=√3, x2=2cos(150°)=–√3, x3=2cos(270°)=0.

Możliwa i prosta jest klasyczna trysekcja kątów o wartościach całkowitych równych 360°/n, gdzie n nie jest wielokrotnością 3, albo inaczej – n jest iloczynem dowolnej potęgi dwójki i pierwszej lub zerowej potęgi piątki. To kryterium obejmuje siedem kątów: 180°, 90°, 72°, 45°, 36°, 18°, 9°. Jeśli n jest podzielne przez 3, trysekcji nie uda się wykonać. Do wykluczonych należy więc 11 kątów w zakresie od 120° do 1°. W tym przypadku wyraźnie widoczny jest związek trysekcji z zagadnieniem konstruowalności wielokąta foremnego, a ściślej – kąta środkowego okręgu, w który wpisany jest wielokąt, opartego na jego jednym boku. Kąt ten jest w n–kącie równy właśnie 360°/n i może być zbudowany za pomocą cyrkla i linijki tylko wtedy, gdy n jest iloczynem potęgi dwójki i różnych liczb pierwszych Fermata (znanych jest zaledwie pięć takich liczb – 3, 5, 17, 257, 65 537). Możliwość konstrukcji danego kąta oznacza więc możliwość trysekcji kąta trzykrotnie większego.

Znane jest jeszcze inne kryterium trysekcji – osobliwe, bo ściśle algebraiczne i umożliwiające podział kątów o wartościach niewymiernych (wyrażonych w stopniach). Takich mianowicie, których cosinus równy jest (p3–3pq2)/2q3, gdzie p<q są liczbami całkowitymi. Równanie trysekcji ma wówczas postać x3–3x–(p3–3pq2)/q3=0, a jego pierwiastkiem x3 jest łatwy do zbudowania odcinek o długości |p/q|=2cos[(ϕ+4p)/3]. Jeśli na przykład p=–2, q=5, to cosϕ=71/125, czyli ϕ≈55,39°. Konstrukcyjny podział tego konkretnego kąta (BOA) przedstawiony jest na rys. 5. Odcinek o długości |p/2q| odkładamy w lewo od punktu O ze względu na jego ujemną wartość. Kąt BOC (wklęsły) równy jest (ϕ+4p)/3, czyli około 258,46°. Odejmując od niego kąt 240° otrzymamy ϕ/3≈18,46°.

Na zakończenie jeszcze jedna osobliwość. Dwa znaki na linijce w konstrukcji Archimedesa (rys. 3) uważane są za minimalny dodatek do euklidesowej klasyki, umożliwiający wykonanie trysekcji. Tymczasem w roku 1907 na łamach pisma American Mathematical Monthly zamieszczona została zapomniana dziś sprytna trysekcja cyrklem i linijką z jednym tylko znakiem. Konstrukcja zaczyna się od zakreślenia okręgu o dowolnym promieniu, oznaczeniu w nim dzielonego kąta ϕ (POL) i narysowania prostej q równoległej do odcinka OL (rys. 5). Następnie po umieszczeniu linijki tak, aby znak na jej brzegu i punkt O pokryły się, należy obracać nią (zachowując cały czas styczność punktu i znaku) dotąd, aż znajdzie się w położeniu, w którym odległości punktu P od przecięcia brzegu linijki z okręgiem (N) i od przecięcia z prostą q (M) będą równe – można to sprawdzać cyrklem. Brzeg linijki wyznaczy odcinek MN, stanowiący element ubogacający konstrukcję w kąty ϕ/3. Takiego pomysłu trysekcji z jednym znakiem zapewne pozazdrościłby nawet sam Archimedes.

Zadania

1. W jaki sposób można dokonać trysekcji kąta równego 54°, korzystając praktycznie tylko z cyrkla, czyli wyznaczając nim dwa punkty, po których połączeniu z wierzchołkiem kąta (dopiero w tym momencie potrzebna jest linijka), widoczny byłby jego podział na trzy równe części? Sposób podziału można krótko opisać lub przedstawić w postaci działania arytmetycznego.

2. W prostokącie ABCD poprowadzono dwa odcinki: AE – łączący wierzchołek A z środkiem boku BC oraz AF – łączący wierzchołek A z środkiem boku CD. W ten sposób przypadkiem wydzielono z kąta BAD jego jedną trzecią, bo okazało się, że kąt EAF ma dokładnie 30°. Jaka jest długość dłuższego boku prostokąta, jeśli długość krótszego równa jest 1.

3. W kwadrat ABCD wpisano trójkąt AEF. Punkty E i F leżą odpowiednio na bokach BC i CD. Odcinki AE i AF dzielą kąt BAD na trzy równe części – po 30°. Odcinek EG jest wysokością trójkąta AEF. Ile stopni ma kąt GDF?

4. Wysokość i środkowa, wyprowadzone z jednego z wierzchołków trójkąta, dzielą kąt przy tym wierzchołku na trzy równe części. Ile stopni ma każdy kąt tego trójkąta?

Rozwiązania prosimy nadsyłać do 30 listopada br. pocztą elektroniczną (swiatnauki@proszynskimedia.pl), wpisując w temacie e-maila hasło UG 11/19. Spośród autorów poprawnych rozwiązań przynajmniej dwóch zadań wyłonimy pięciu zwycięzców i nagrodzimy ich książką Księga ludzi. Opowieść o tym, jak staliśmy się nami Adama Rutherforda ufundowaną przez wydawnictwo Prószyński Media. Warunkiem udziału w konkursie jest zamieszczenie w e-mailu z odpowiedzią oświadczenia:

Zapoznałam/em się z regulaminem Konkursu i akceptuję jego treść oraz wyrażam zgodę na przetwarzanie danych osobowych na potrzeby realizacji Konkursu.

Regulamin Konkursu jest dostępny na stronie www.swiatnauki.pl

***

1 Underwood Dudley, A Budget of Trisections, Springer-Verlag New York Inc., 1987.

2 Tadeusz Ważewski, Sur une méthode approximative de M. Rappaport concernant la trisection d’un angle., Annales de la Société polonaise de mathématique, tom 18, 1945.

***

Rozwiązania zadań z numeru wrześniowego

1. Warunkom (dN–1)/2≥m i (dN–1)/2<m równoważne są odpowiednio warunki dN>Öľ2N oraz dN<Öľ2N.

2. Stopień uprzejmości liczby 28! (28 silnia) równy jest 35 279.

3. 772=5929 to najmniejszy kwadrat, który jest sumą kwadratów jedenastu kolejnych liczb – od 182 do 282.

Za poprawne rozwiązanie przynajmniej dwóch zadań książkę Nathalie Deruelle i Jeana-Pierre’a Lasoty Fale grawitacyjne. Nowa era astrofizyki, ufundowaną przez wydawnictwo Prószyński Media, otrzymują: Wojciech Błachut z Gliwic, Cyprian Cukier z Zabłocia, Marcin Modzelewski z Warszawy, Krzysztof Szeruga z Wrocławia, Rafał Zorychta z Kończyc Wielkich.

Świat Nauki 11.2019 (300339) z dnia 01.11.2019; Umysł giętki; s. 70
Reklama

Ta strona do poprawnego działania wymaga włączenia mechanizmu "ciasteczek" w przeglądarce.

Powrót na stronę główną