Reklama
Shutterstock
Strona główna

Trójki, czwórki, piątki, czyli generacje pitagorejskie

Ilustracje Marek Penszko
Tabela 1Ilustracja Marek Penszko Tabela 1
Ilustracja Marek Penszko
Tabela 2Ilustracja Marek Penszko Tabela 2
Ilustracja Marek Penszko
Ilustracja Marek Penszko
Ilustracja Marek Penszko
Tabela 3Ilustracja Marek Penszko Tabela 3
Tabela 4Ilustracja Marek Penszko Tabela 4
Rys.1Ilustracja Marek Penszko Rys.1
Rys.2Ilustracja Marek Penszko Rys.2
Rys.3Ilustracja Marek Penszko Rys.3
Rys.4Ilustracja Marek Penszko Rys.4
Rys.5Ilustracja Marek Penszko Rys.5
Rys.6Ilustracja Marek Penszko Rys.6
materiały prasowe
Marek Penszko, z wykształcenia inż. poligrafii, jest znawcą i popularyzatorem gier i rozrywek umysłowych, głównie matematyki rekreacyjnej. Współpracuje z wieloma czasopismami, m.in. pisze blog dla Polityki.Scientific American Marek Penszko, z wykształcenia inż. poligrafii, jest znawcą i popularyzatorem gier i rozrywek umysłowych, głównie matematyki rekreacyjnej. Współpracuje z wieloma czasopismami, m.in. pisze blog dla Polityki.
Zagadka numeru.

Jeśli kwadrat jest sumą dwóch kwadratów (a2+b2=c2), to mamy do czynienia z trójką pitagorejską (a, b, c). Nieskończenie licznej rodzinie takich trójek przewodzi elegancki, znany wszystkim od szkoły podstawowej tercet (3, 4, 5), czyli 32+42=52. Jeżeli natomiast sumę, która jest kwadratem, tworzą trzy kwadraty liczb całkowitych dodatnich (a2+b2+c2=d2), to mówimy o czwórkach pitagorejskich; ich forpocztę stanowi nieco mniej urokliwy kwartet (1, 2, 2, 3), czyli 12+22+22=32. Tę prezentację można by oczywiście kontynuować, anonsując pitagorejskie piątki, szóstki, siódemki, … itd., ale bliższe zainteresowanie matematyków takimi konkretnymi obiektami praktycznie kończy się na piątkach. Dalej temat zostaje uogólniony do n-tek, a właściwie analizowane jest jeszcze szersze zagadnienie, gdy sumą n-1 kwadratów jest dowolna liczba. W tym artykule dowolnych liczb w roli głównej nie będzie – ograniczymy się do kwadratów.

Trójki pitagorejskie gościły już w tej rubryce przed kilkoma miesiącami, ale warto do nich wrócić, bowiem to, co ich dotyczy, wiąże się także z pozostałymi n-tkami. Najistotniejszym zagadnieniem jest generator liczb, który w przypadku trójek ma postać następującej recepty: weź dwie dowolne liczby (m>n), ale względnie pierwsze (bez wspólnego dzielnika większego niż 1), z których jedna będzie parzysta, a druga nieparzysta, i wykonaj trzy działania:

a=m2n2

b= 2mn

c=m2+n2

Wyniki działań zawsze dadzą trójkę pitagorejską pierwotną (a, b, c), czyli taką, którą tworzą trzy liczby względnie pierwsze, a ściślej, względnie pierwsze są liczby w każdej parze – (a, b), (b, c) i (a, c). Korzystając z takiego generatora, otrzymujemy dla wszystkich możliwych par (m, n) wszystkie trójki pierwotne, a te z kolei w wyniku mnożenia przez k dają wszystkie trójki wtórne złożone z iloczynów (ka, kb, kc), gdzie k jest dowolną liczbą całkowitą dodatnią. Uwzględniając mnożenie, generator można nazwać kompletnym, bo w rezultacie jego działania żadna trójka pitagorejska nie zostanie pominięta. W tabeli 1 podane są wszystkie trójki pierwotne dla jednocyfrowych wartości m i n.

Ten generator można też uznać za „etatowy”, bo pojawia się niemal zawsze jako jedyny przy omawianiu trójek pitagorejskich. Są jednak i inne, mało znane; jeden z nich, ciekawy i oryginalny, sprowadza się do nieco dłuższego przepisu: weź dowolną liczbę parzystą x, podnieś ją do kwadratu; kwadrat podziel przez 2, a otrzymany wynik x2/2 przedstaw na wszystkie możliwe sposoby w postaci pary liczb naturalnych (p, q) takiej, że p×q= x2/2 i każdą taką parę wraz z x zamień w trójkę pitagorejską (a, b, c), wykonując działania:

a=p+x

b=q+x

c=p+q+x

Ten algorytm daje dla kolejnych parzystych x ciąg wszystkich trójek pitagorejskich uszeregowanych z grubsza według rosnącej wartości a – bez podziału na pierwotne i wtórne. Tabela 2 zawiera początek tego ciągu dla x≤12. Oznaczone na czerwono trójki pierwotne powstają tylko wtedy, gdy parę (p, q) tworzą liczby względnie pierwsze.

Drugi generator trójek może służyć także do tworzenia czwórek pitagorejskich. Inne będą tylko wzory końcowe:

a=p

b=x

c=q

d=p+q

Na przykład dla x=2 i (p, q)=(1, 2) otrzymamy pierwszą czwórkę pierwotną (1, 2, 2, 3), zaś dla x=4 czwórkę pierwotną (1, 4, 8, 9), gdy (p, q)=(1, 8), albo czwórkę wtórną (2, 4, 4, 6), jeśli (p, q)=(2, 4). Niestety, łatwo zauważyć, że w tym przypadku generator nie jest kompletny, pomija bowiem wiele czwórek, w których p+qd, np. (2, 3, 6, 7). Warto zauważyć, że podstawę tego sprytnego choć niedoskonałego generatora stanowi znany wzór na kwadrat sumy:

(p+q)2= p2+2pq+q2

będący w gruncie rzeczy gotową czwórką pitagorejską:

a=p, b=√2pq, c=q, d=p+q.

Równie sprytny, choć jeszcze bardziej selektywny sposób tworzenia czwórek oparty jest na trójkach pitagorejskich. Wystarczy skorzystać z układu dwóch równań różnych trójek, w których występuje taka sama liczba. Na przykład:

32+42=52

52+122=132

Po podstawieniu 52 z pierwszego równania do drugiego powstaje gotowe równanie czwórki:

32+42+122=132

Analogicznym sposobem czwórki można łatwo zamieniać w piątki, piątki w szóstki itd.

Czy istnieje kompletny algorytm-generator czwórek pitagorejskich? Na początku warto zauważyć, że jak w przypadku trójek pierwotnych jedna z pary liczb (a, b) musi być parzysta, a druga nieparzysta (duet P, N), tak w czwórkach pierwotnych w tercecie (a, b, c) parzyste muszą być dwie i tylko dwie liczby (tercet P, P, N). Nietrudno dowieść, że inne kombinacje – (P, P, P), (P, N, N) lub (N, N, N) – nie wchodzą w grę (w dowodzie korzysta się z własności kwadratów liczb parzystych i nieparzystych: resztą z dzielenia przez 4 kwadratu liczby nieparzystej jest zawsze 1, a kwadrat liczby parzystej dzieli się przez 4 bez reszty; natomiast resztą dzielenia przez 4 kwadratu liczby nieparzystej jest 1). Stąd wniosek, że w czwórkach pierwotnych d jest nieparzyste.

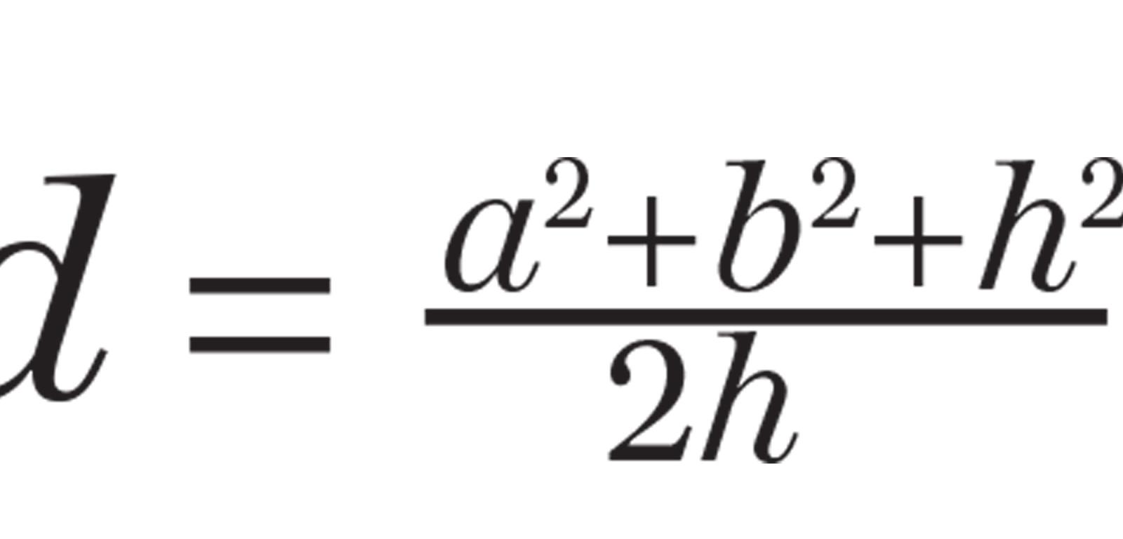
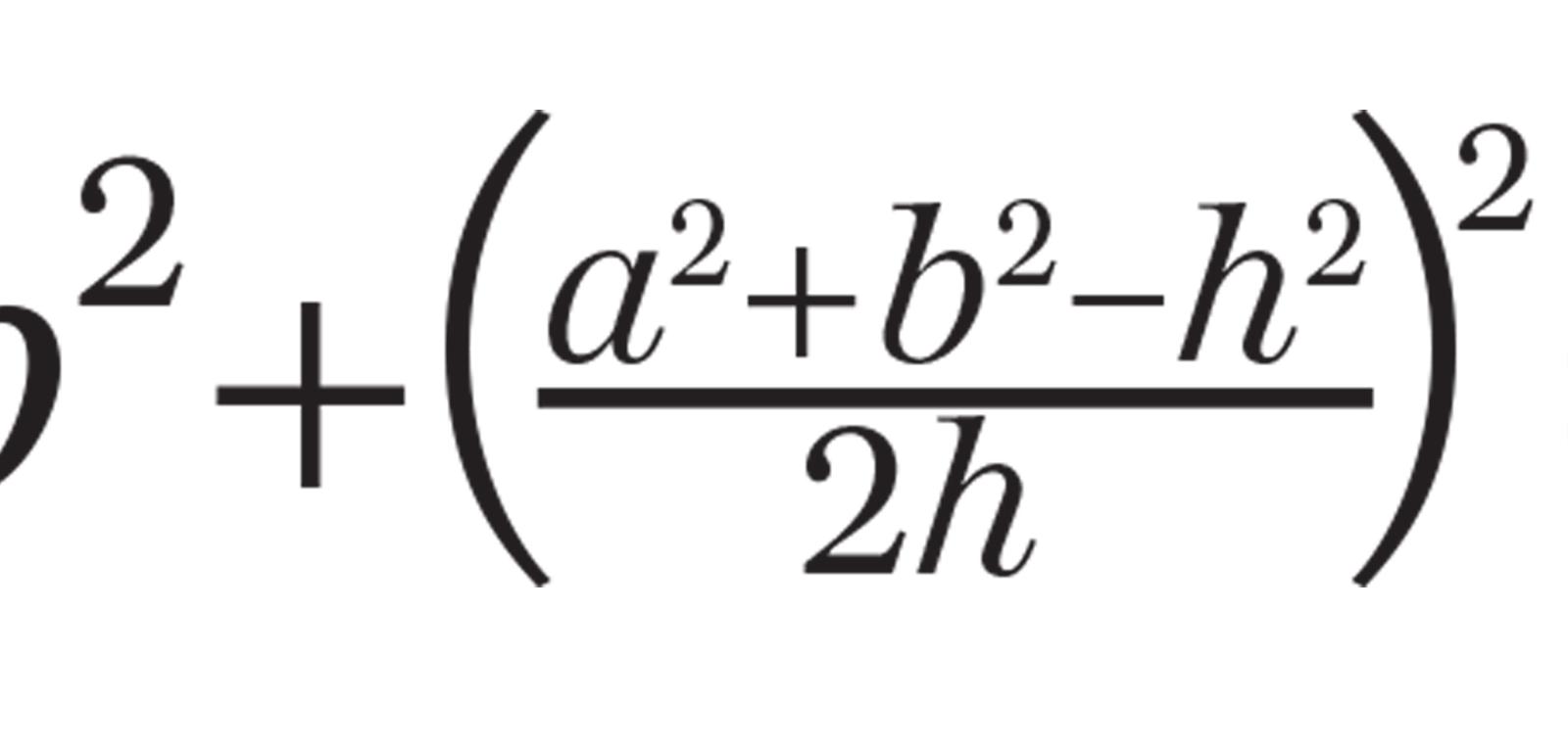
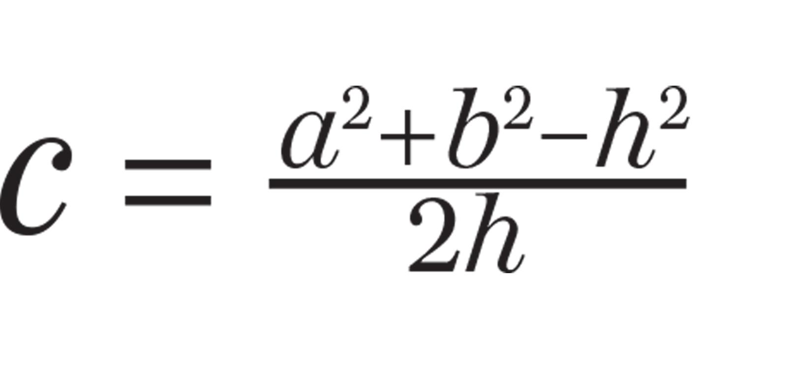
Skoro w każdej czwórce przynajmniej dwa składniki muszą być parzyste, więc konstrukcję generatora zaczniemy od wyboru dwu dowolnych liczb parzystych a i b. Przyda się także pomocnicza liczba h, spełniająca dwa warunki: h powinno być parzystym dzielnikiem sumy a2+b2 oraz h2<a2+b2. Teraz tworzymy odpowiednie c. Odpowiednie oznacza takie, aby suma a2+b2+c2 była kwadratem. Będzie tak, jeśli przyjmiemy:

bo wówczas po podstawieniu c do równania trójki:

a następnie po wykonaniu działań i przekształceniach otrzymamy:

W tabeli 3 przedstawione są efekty działania tego generatora dla jednocyfrowych a i b.

Generator jest kompletny. Można go nazwać algorytmem Sierpińskiego, bo jest bardzo podobny do zamieszczonego w uchodzącej dziś za bibliofilski rarytas książce polskiego matematyka*. Być może jego jedyną wadą jest „nadaktywność” – zaskakują zwłaszcza wartości ułamkowe. Tabela obejmuje

wszystkie czwórki pierwotne z d≤17 (oprócz d=15), a także niektóre inne pierwotne oraz wtórne; do tych ostatnich można także zaliczyć czwórki z ułamkowymi c i d.

Od ponad 30 lat z inicjatywy Komisji Europejskiej co roku organizowany jest Konkurs Prac Młodych Naukowców Unii Europejskiej. Właściwie autorami prac są bardzo młodzi kandydaci na naukowców, mający nie więcej niż 21 lat. W ubiegłym roku dwaj słoweńscy licealiści zgłosili pracę, dotyczącą głównie generatorów trójek, czwórek i piątek pitagorejskich. Praca nie zyskała wysokiej oceny jury między innymi z powodu licznych nieścisłości. Młodzi Słoweńcy zaproponowali na przykład jakoby kompletny generator czwórek, zaczynający się od dwóch dowolnych liczb – a i b. Jeśli obie są parzyste, to wartości c i d określają wzory:

c=(a2+b2)/4–1

d=(a2+b2)/4+1

Jeżeli zaś jedna jest parzysta, a druga nieparzysta, to wzory są następujące:

c=(a2+b2–1)/2

d=(a2+b2+1)/2

Wzory są, oczywiście, poprawne i dają czwórki pitagorejskie, ale nie wszystkie. Gdyby generator uznać za kompletny, znaczyłoby to, że w każdej czwórce para liczb (a, b) jest inna. Tymczasem ta sama para (a, b) może występować w dwóch i więcej czwórkach. Jeśli na przykład a=b=6, to z pierwszego wzoru otrzymamy czwórkę (6, 6, 17, 19), ale nieujawniona pozostanie (6, 6, 7, 11). Inny przykład: a=12, b=24 – w tym przypadku wzór daje czwórkę (12, 24, 179, 181), ale pominięte zostają (12, 24, 31, 41) i (12, 24, 41, 49), nie wspominając o wtórnej (12, 24, 57, 63).

Skoro kompletny generator trójek zaczyna się od dwóch liczb (m, n), a czwórek od trzech (a, b, h), to można domniemywać, że kompletny generator piątek będzie wymagał na starcie czterech liczb. Tymczasem słoweńscy licealiści zaproponowali dla piątek m.in. generator z trzema liczbami startowymi oparty na podanym wyżej „etatowym” wzorze dla trójek. Dane są trzy dowolne liczby naturalne (m, n, p), a piątka (a, b, c, d, e) powstaje w wyniku działań:

a=2m2

b=2mn

c=2mp

d=n2+p2

e=2m2+n2+p2

Nietrudno sprawdzić, że generator działa prawidłowo, ale też równie łatwo zauważyć, że jest niekompletny – owocuje wyłącznie kwintetami, w których ed=a, a takie stanowią tylko część piątek.

Zatem dla kompletnego generatora piątek trzy liczby wyjściowe nie wystarczą. Czterocyfrowy najwygodniej skonstruować, opierając się na podanym wyżej algorytmie Sierpińskiego dla czwórek. Zaczniemy od wybrania trzech liczb naturalnych (a, b, c) oraz pomocniczej liczby h, spełniającej dwa warunki: h powinno być dzielnikiem sumy a2+b2+c2 (uwzględniamy także h=1) oraz h2<a2+b2+c2. Piątkę (a, b, c, d, e) otrzymamy, uzupełniając trójkę (a, b, c) wartościami d i e:

d=(a2+b2+c2h2)/2h

e=(a2+b2+c2+h2)/2h

Ten generator jest kompletny. Daje wszystkie piątki pierwotne dla zadanych wartości (a, b, c), choć w niektórych przypadkach jako piątki wtórne z dwukrotnie mniejszymi ułamkowymi wartościami d i e. Tabela zawierająca efekty jego działania choćby dla jednocyfrowych liczb wyjściowych, czyli jak tabela 3 dla czwórek, byłaby zbyt obszerna, bo 3-elementowych kombinacji z powtórzeniami ze zbioru 9-elementowego jest aż 165. Zatem tylko jeden przykład, ale szczególny: z trzema liczbami startowymi tworzącymi ciąg arytmetyczny, z ułamkowymi d i e oraz z pięcioma liczbami h, a więc z pięcioma piątkami pierwotnymi (tabela 4).

Zadania

1. N+P=N – to jedyny schemat pierwotnych trójek pitagorejskich (kolejność składników pomijamy), czyli na nieparzystą sumę składają się liczba nieparzysta i parzysta, np. 352+842=912. W przypadku pierwotnych czwórek jedynym schematem jest N+P+P=N, np. 92+362+722=812. Schematów pierwotnych piątek jest więcej niż jeden. Proszę podać wszystkie.

2. W ośmiu wierzchołkach sześcianu rozmieszczono kwadraty różnych liczb, a przy każdej z 12 krawędzi wpisano iloczyn liczb na jej końcach (rys. 1). Gdyby w wierzchołkach znalazły się wszystkie liczby od 1 do 9 – oprócz 8 – i gdyby ich rozmieszczenie było takie, jak na rys. 2, to wszystkie 12 iloczynów oraz ich suma tworzyłyby „okrągłą” pitagorejską… trzynastkę:

22+32+72+102+122+152+182+242+282+302+542+632=1002. Te same liczby można oczywiście rozmieścić tak, by suma iloczynów była większa niż 10 000. Jaka może być największa (nie musi być kwadratem)?

3. Proszę znaleźć pierwotną czwórkę pitagorejską złożoną z czterech liczb dwucyfrowych o następującej własności: po zastąpieniu każdej z tych liczb sumą jej cyfr powstaną cztery liczby jednocyfrowe, także tworzące pierwotną czwórkę pitagorejską.

4. Obrazem geometrycznym trójki pitagorejskiej (a, b, c) jest trójkąt prostokątny o przyprostokątnych (a, b) i przeciwprostokątnej c. Obrazem czwórki pitagorejskiej (a, b, c, d) jest prostopadłościan o krawędziach (a, b, c) i przekątnej d (rys. 3). Co jest (może być) interpretacją geometryczną piątki pitagorejskiej (a, b, c, d, e)?

Rozwiązania prosimy nadsyłać do 31 maja br. pocztą elektroniczną (swiatnauki@proszynskimedia.pl), wpisując w temacie e-maila hasło UG 05/20. Spośród autorów poprawnych rozwiązań przynajmniej dwóch zadań wyłonimy pięciu zwycięzców i nagrodzimy ich książką Przestrzeń kwantowa. Pętlowa grawitacja kwantowa i poszukiwanie struktury przestrzeni, czasu i Wszechświata Jima Baggotta ufundowaną przez wydawnictwo Prószyński Media. Warunkiem udziału w konkursie jest zamieszczenie w e-mailu z odpowiedzią oświadczenia:

Zapoznałam/em się z regulaminem Konkursu i akceptuję jego treść oraz wyrażam zgodę na przetwarzanie danych osobowych na potrzeby realizacji Konkursu.

Regulamin Konkursu jest dostępny na stronie www.swiatnauki.pl

***

Wacław Sierpiński, Trójkąty pitagorejskie, PWN Warszawa 1954

***

Rozwiązania zadań z numeru marcowego

Za poprawne rozwiązanie przynajmniej dwóch zadań książkę Adama Rutherforda Księga ludzi. Opowieść o tym, jak staliśmy się nami, ufundowaną przez wydawnictwo Prószyński Media, otrzymują: Małgorzata Bagińska z Białej Podlaskiej, Marta Madej z Wrocławia, Ewa Olszewska z Dawid Bankowych, Michał Stańczuk z Kobyłki, Bartosz Światłowski z Kępna.

Świat Nauki 5.2020 (300345) z dnia 01.05.2020; Umysł giętki; s. 70
Reklama

Ta strona do poprawnego działania wymaga włączenia mechanizmu "ciasteczek" w przeglądarce.

Powrót na stronę główną